tanx的导数

被浏览:4622

关注者:370

最佳回答:

导数是数学中重要的概念之一,它描述了函数在某一点附近的变化率。在三角函数中,tanx是一种常见的函数,其导数也具有一定的特点。下面将详细讨论tanx的导数。

一、tanx的定义及性质

tanx是三角函数中的一种,定义为对边与邻边的比值,即tanx=opposite/adjacent。tanx的定义域是所有实数,但在一些特定的点上它的值是无穷大的。tanx是一个周期函数,周期为π,即tan(x+π) = tanx。

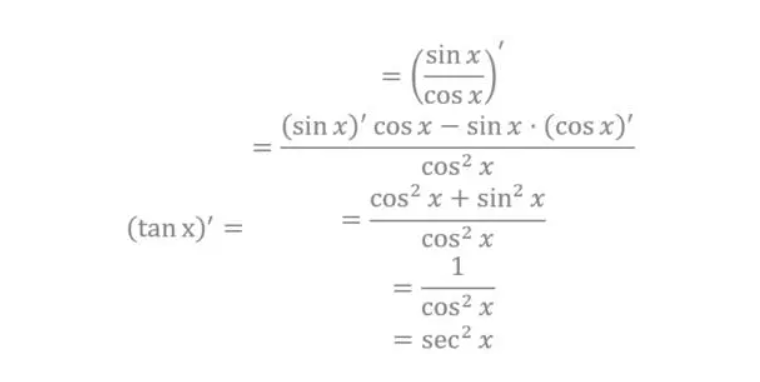
tanx的导数

二、使用极限计算tanx的导数

要计算tanx的导数,可以通过极限的方式来求解。根据导数的定义,tanx在某一点x处的导数为lim(h→0) [tan(x+h) - tanx] / h。

三、tanx的导数计算过程

将tan(x+h)展开,可得tan(x+h) = (tanx + tanh) / (1 - tanx * tanh)。代入导数的定义式中,可以得到lim(h→0) [(tanx + tanh) / (1 - tanx * tanh) - tanx] / h。接下来,可以简化这个极限表达式。

四、使用泰勒级数展开式计算tanx的导数

tanx的导数

除了使用极限计算导数,还可以使用泰勒级数展开法来求解tanx的导数。泰勒级数展开是一种将函数用无穷级数表示的方法,可以用来近似计算函数的值。

五、tanx的导数的特点

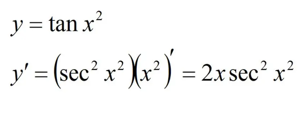
tanx的导数有一些特点值得注意。tanx在x=kπ+π/2(其中k为整数)处的导数不存在,因为tanx在这些点上的值为无穷大。tanx在x=kπ(其中k为整数)处的导数为0,因为tanx在这些点上的值为0。另外,tanx的导数是一个周期函数,周期为π。

六、tanx的应用领域

tanx的导数

tanx在数学和应用中有广泛的应用。在三角学中,tanx常用于解决三角函数的相关问题。在物理学和工程学中,tanx常用于描述物体的斜度、电路中的电流等。tanx还在图形学、信号处理等领域中得到广泛的应用。

小结:

tanx是三角函数中一种常见的函数,其导数具有一定的特点。通过极限计算或者泰勒级数展开法都可以求解tanx的导数。tanx的导数在特定的点上不存在,有些点上为0。tanx在数学和应用中有广泛的应用领域。

获赞数:958

收藏数:39

回答时间:2024-06-26 20:50:28