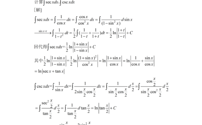
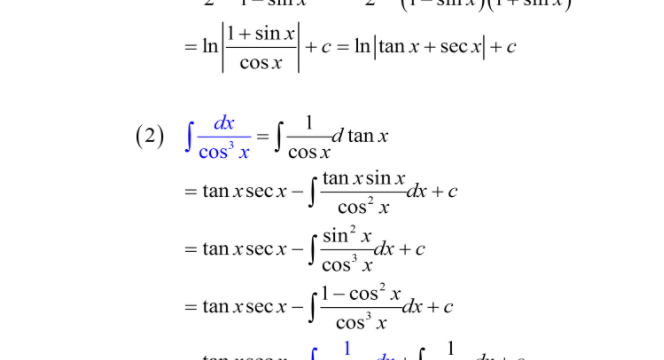
在高等数学中,我们学习了很多的函数,其中三角函数是一类非常重要的函数,其中包括sinx、cosx和tanx等。而在三角函数中,又有一个重要的函数secx。本文将深入探讨secx的原函数。

引入secx函数及其简单定义。
1. secx是三角函数中的余割函数的简称,它表示的是余弦函数的倒数。我们可以将其定义为secx = 1/cosx,其中cosx在定义域(可分割为区间)上不等于零。
2. secx的图像形状与cosx类似,但与cosx完全相反的是,secx的值在区间上恒为正,而且值域的范围是大于等于1的实数。
简要推导secx的导函数。
3. 为了求解secx的原函数,需要推导secx的导函数。根据导数的性质,可得d/dx(secx) = secx * tanx。
4. 我们知道tanx的导数是secx的平方。因此,我们可以进一步推导secx的导函数为d/dx(secx) = secx * secx * tanx = sec^2x * tanx。

计算secx的原函数。
5. 根据导函数和原函数的关系,我们可以计算secx的原函数。设原函数为F(x),即F'(x) = sec^2x * tanx。
6. 由于(d/dx)(tanx) = sec^2x,我们可以使用微积分的方法求解F(x)。通过对F(x)两边进行积分,得到F(x) = ∫(sec^2x * tanx)dx。
7. 我们可以使用换元法,将tanx的导数sec^2x转化为d/dx(u(x))的形式。可以令u(x) = tanx,从而du/dx = sec^2x。那么F(x) = ∫du = u(x) + C。
8. 因此,F(x) = tanx + C,其中C为常数。这样,我们得到了secx的原函数。
结论段:总结secx的原函数特点和应用。
9. 通过计算和推导,我们得出secx的原函数为F(x) = tanx + C。这个结果告诉我们,secx的原函数是tanx加上一个常数C。
10. 在应用中,我们可以通过知道secx的原函数,来求解secx的不定积分问题。这种求解方法也适用于其他三角函数的不定积分。
11. 在实际问题中,我们也可以将secx的原函数应用于求解一些特定的三角函数问题,如求解一些复杂方程的解等。

总结:
在高等数学中,secx是三角函数中的一个重要函数,它表示的是余弦函数的倒数。通过推导和计算,我们可以得出secx的原函数为tanx + C。在实际应用中,这个结果可以帮助我们求解secx的不定积分问题,也可以应用于解决一些特定的三角函数问题。正是因为secx的原函数的存在,我们才能更好地理解和应用三角函数的知识。